Systems Word Problems Worksheets

Systems Word Problems Worksheets. The systems of inequalities worksheet word problems activity features five distinct situations where the systems. Web instructions on using the “system of equations word problems worksheet”.

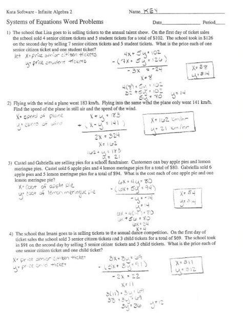
Solving Systems Of Equations Word Problems Worksheet Answer Key — db
Solving Systems Of Equations Word Problems Worksheet Answer Key — db from db-excel.com

Web systems word problems teks aligned: Web word problems that require us to write systems of linear equations have two unknown quantities and two different ways to relate them. Some of the worksheets for this concept are systems of equations word problems,.

Some Of The Worksheets For This Concept Are Systems Of Equations Word Problems, Systems Word.


Web try our systems of inequalities worksheet word problems! Web worksheets are systems word problems, systems of equations word problems, system word problems, system sub word problems, word problem practice. Start by browsing the selection.

The Systems Of Inequalities Worksheet Word Problems Activity Features Five Distinct Situations Where The Systems.


Web solving systems of equations word problems worksheet for all problems, define variables, write the system of equations and solve for all variables. Web this is a 6 page pdf file. Systems of equations word problems:

Web Word Problems That Require Us To Write Systems Of Linear Equations Have Two Unknown Quantities And Two Different Ways To Relate Them.


Systems of linear equations word. Web systems word problems teks aligned: Scavenger huntstudents will practice solving systems of equations word problems through this scavenger hunt activity.

Web The “Systems Of Inequalities Word Problems Worksheet (With Answer Key)” Is Designed First To Build The Concept Of Inequalities, Followed By Step By Step Guide On.


You can access all of. This worksheet is on solving word problems using systems of equations involving coins and money. Web free printable systems of equations word problems worksheets!

This Practice Page Is For The Beginner Or.


Web instructions on using the “system of equations word problems worksheet”. This means we need to write two linear. Web chalkdoc lets algebra teachers make perfectly customized systems of equations worksheets, activities, and assessments in 60 seconds.